抱歉,您的浏览器无法访问本站
本页面需要浏览器支持(启用)JavaScript
了解详情 >
转移自老blog

bzoj1924

题意:

        在宽广的非洲荒漠中,生活着一群勤劳勇敢的羊驼家族。被族人恭称为“先知”的Alpaca L. Sotomon是这个家族的领袖,外人也称其为“所驼门王”。所驼门王毕生致力于维护家族的安定与和谐,他曾亲自率军粉碎河蟹帝国主义的野蛮侵略,为族人立下赫赫战功。所驼门王一生财宝无数,但因其生性节俭低调,他将财宝埋藏在自己设计的地下宫殿里,这也是今天Henry Curtis故事的起点。Henry是一个爱财如命的贪婪家伙,而又非常聪明,他费尽心机谋划了这次盗窃行动,破解重重机关后来到这座地下宫殿前。
        整座宫殿呈矩阵状,由R×C间矩形宫室组成,其中有N间宫室里埋藏着宝藏,称作藏宝宫室。宫殿里外、相邻宫室间都由坚硬的实体墙阻隔,由一间宫室到达另一间只能通过所驼门王独创的移动方式——传送门。所驼门王为这N间藏宝宫室每间都架设了一扇传送门,没有宝藏的宫室不设传送门,所有的宫室传送门分为三种:
        “横天门”:由该门可以传送到同行的任一宫室;
        “纵寰门”:由该门可以传送到同列的任一宫室;
        “自*河蟹*由*河蟹*门”:由该门可以传送到以该门所在宫室为中心周围8格中任一宫室(如果目标宫室存在的话)。
        深谋远虑的Henry当然事先就搞到了所驼门王当年的宫殿招标册,书册上详细记录了每扇传送门所属宫室及类型。而且,虽然宫殿内外相隔,但他自行准备了一种便携式传送门,可将自己传送到殿内任意一间宫室开始寻宝,并在任意一间宫室结束后传送出宫。整座宫殿只许进出一次,且便携门无法进行宫室之间的传送。不过好在宫室内传送门的使用没有次数限制,每间宫室也可以多次出入。
        现在Henry已经打开了便携门,即将选择一间宫室进入。为得到尽多宝藏,他希望安排一条路线,使走过的不同藏宝宫室尽可能多。请你告诉Henry这条路线最多行经不同藏宝宫室的数目。

输入:
        第一行给出三个正整数 N, R, C。 以下 N 行,每行给出一扇传送门的信息,包含三个正整数xi, yi, Ti,表示该传送门设在位于第 xi行第yi列的藏宝宫室,类型为 Ti。Ti是一个1~3间的整数, 1表示可以传送到第 xi行任意一列的“横天门”,2表示可以传送到任意一行第 yi列的“纵寰门”,3表示可以传送到周围 8格宫室的“自由门”。 保证 1≤xi≤R,1≤yi≤C,所有的传送门位置互不相同。
测试点编号:
        
        N  R  C 
        1  16  20  20 
        2  300  1,000  1,000 
        3  500  100,000  100,000  
        4  2,500  5,000  5,000  
        5  50,000  5,000  5,000  
        6  50,000  1,000,000  1,000,000  
        7  80,000  1,000,000  1,000,000  
        8  100,000  1,000,000  1,000,000  
        9  100,000  1,000,000  1,000,000  
        10  100,000  1,000,000  1,000,000  
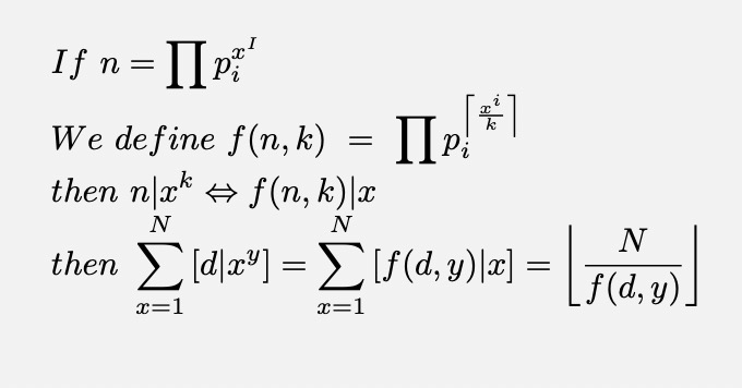
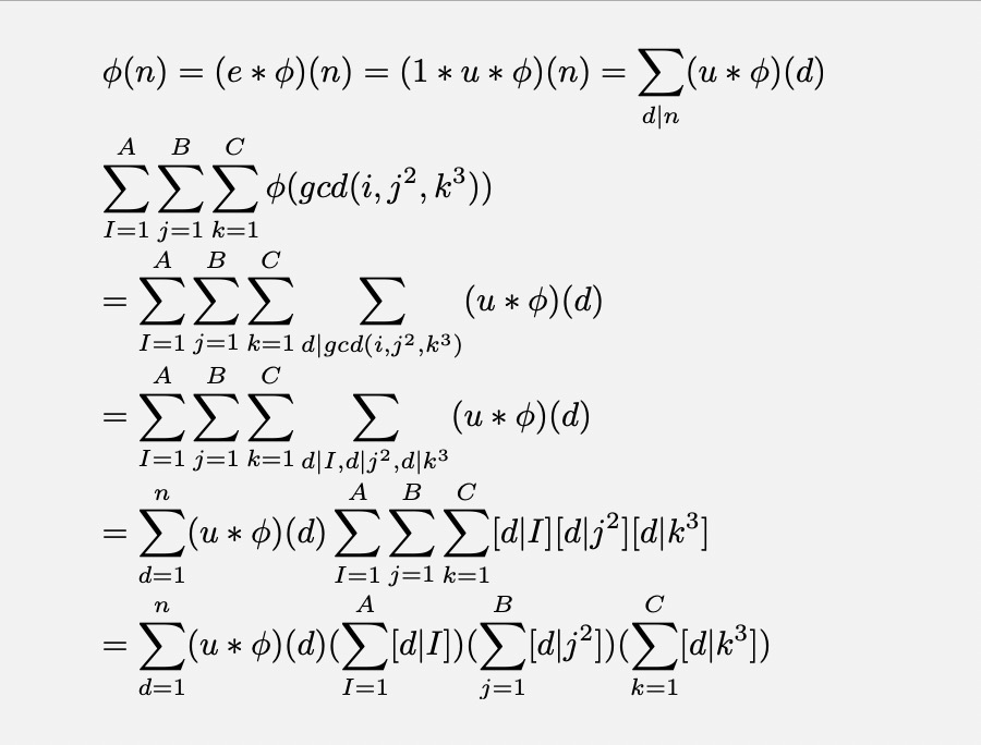
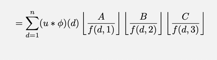
先简单化简一下

观察发现

代回去

这些都是积性函数,直接筛就行了
#include<bits/stdc++.h>
using namespace std;

/****  * 超级积性函数线性筛 *  ****/
typedef unsigned int uint;
typedef unsigned long long ull;

const uint maxn=1e7+100;
uint no_pri[maxn]={0,1,0},pri[maxn],low[maxn];
uint PHI[maxn],phu[maxn],f2[maxn],f3[maxn];

void f_ini(){
    for(uint i=2;i<maxn;i++){
        if(!no_pri[i]) low[i]=pri[++pri[0]]=i;
        for(uint j=1;1ll*pri[j]*i<maxn;j++){
            no_pri[pri[j]*i]=1;
            if(i%pri[j]==0) {
                low[pri[j]*i]=low[i]*pri[j];
                break;
            }
            else low[pri[j]*i]=pri[j];
        }
    }

    PHI[1]=phu[1]=f2[1]=f3[1]=1;// 改这里
    for(uint i=1;i<=pri[0];i++){
        for(ull mul=pri[i],ct=1;mul<maxn;mul*=pri[i],ct++){
            uint pre=mul/pri[i];
            PHI[mul]=mul/pri[i]*(pri[i]-1);// 改这里
            phu[mul]=PHI[mul]-PHI[pre];
            f2[mul]=ct%2==1?(f2[pre]*pri[i]):f2[pre];
            f3[mul]=ct%3==1?(f3[pre]*pri[i]):f3[pre];
        }
    }

    for(uint i=2;i<maxn;i++){
        for(uint j=1;1ll*pri[j]*i<maxn;j++){
            uint x=low[i*pri[j]], y=i*pri[j]/x;
            phu[x*y]=phu[x]*phu[y];
            f2[x*y]=f2[x]*f2[y];
            f3[x*y]=f3[x]*f3[y];
            if(i%pri[j]==0) break;
        }
    }
}

int main(){
    f_ini();

    uint t; cin>>t;
    while(t--) {
        uint a,b,c;
        cin>>a>>b>>c;
        uint ans=0;
        uint n=min(min(1.0*a,1.0*b*b),1.0*c*c*c)+0.5;
        for(uint i=1;i<=n;i++){
            ans+=phu[i]*(a/i)*(b/f2[i])*(c/f3[i]);
        }
        ans&=0x3fffffff;
        cout<<ans<<endl;
    }
    return 0;
}





/*


4
96 93 95
970 906 893
92460 95043 54245
9760979 8053227 7156842


*/

评论